» VTEC Motor L15A / L15A1 aus Japan / USA: Kann man swappen?

Handbremse zu schlecht für den Pickerl/TÜV?Neuen Thread eröffnenNeue Antwort erstellenBrauche ein Mass Angstgriffe
<123456
89181920>
AutorNachricht
General 

Name: Andy
Geschlecht:
Fahrzeug: VW Polo 6R GTi ABT
Anmeldedatum: 20.03.2006
Beiträge: 3220
Wohnort: Eckental nähe Nürnberg Nord [Mittelfranken]


Meine eBay-Auktionen:
30.04.2010, 11:12
zitieren

hm :D

ob das Getreibe passt !!! ist die andere frage und wegen der Leistung! nicht das es dann Getriebesalat gibt

ahja die liset ist fertig aber update freundlich :D


pn email
Premium-Member 

Name: Paul
Geschlecht:
Fahrzeug: type-R FK2-2015 /// CW3 type S
Anmeldedatum: 25.04.2008
Beiträge: 1895
Wohnort: GER
30.04.2010, 12:29
zitieren

hmmmm...
ok. noch mal von vorne!! ein K20 swap ist möglich, aber für normalsterblichen unbezahlbar!!
hab ja damals nachgerechnen, und kamm auf etwas über 18 tausend euro!! man vergisst ja schnel das man andere bremsen braucht, die sowieso teuer sind!! andere antriebswellen, die auch mit 700€ zu kasse bitte. schaltzüge von rsx must du auch noch importieren lassen. kommplete abgasanlage must du auch noch anfertigen. k-pro ECU ist auch nicht billig!!
und den tüv das alles abnehmen zu lassen ist sowieso schweine teuer!!
wie gesagt, die liste ist seeehhhr lang!!! bevor ich so viel gelt in den jazz investiere, kauf ich mir einen ep3 und bau turbo drauf. komm ich auf das selbe ergebnis!!

zum getriebe: wir müssen erfahren wie die nummer unseres getrige ist. und dann können wir vergleiche.
weil jedes getriebe hat ja eine bestimmten code. ich weiss aber nicht wo der steht.
evnt. weiss ja einer aus dem forum mehr??
und bitte keine : ich glaube........
so kann ich auch glauben!! nichts für ungut.


pn
Administrator 

Name: Marc
Geschlecht:
Anmeldedatum: 28.08.2004
Beiträge: 52435
Wohnort: Lohmar


Meine eBay-Auktionen:
30.04.2010, 13:26
zitieren

Also die Firma, die ich jetzt da habe ist gut. Die macht so viel, dass die meine Emails ständig von jemand anderen beantworten lassen und daher null zusammenhängende Kommunikation möglich ist ^^

Ich hatte ja erstmal nach Fits für bis zu 250k angefragt und da hat mir dann einer mit einer Liste geantwortet von der letzten Auktion wo der 300k Fit dabei war. Danach kam die Antwort, dass manuelle nur ab 600k möglich sind (klar in der aktuellen Auktion, aber darum gehts mir ja gar nicht).

Die machen denke ich keine Recherche oder "Merkzettel" für mich. Stattdessen müsste ich täglich in die Auktionsliste gucken und dann eben anfragen, wenn was interessant ist.

Ich werde daher die Liste automatisiert einlesen. Ich programmiere gleich mal was dafür, damit ich eine Erinnerungsmail bekomme, wenn was interessant ist.

EDIT:
Oh Gott das ist total krank. Ich bekomme jetzt täglich Emails mit Neuerungen bei den Auktionshäusern. Gerade wieder 2 reingeflogen. Die Liste ist jetzt komplett ohne Schalter. Da muss wirklich ne Automatik rein, sonst bekomme ich nen Anfall ^^

EDIT2:
Also Automatik wird doch nicht so einfach. Das Problem ist, dass die Preise teilweise bei 0 oder 10.000 Yen anfangen als Startpreis. Ich kann also wenn nur nen Filter machen nach GD3 und Schalter. Aber das nimmt zumindest ein bisschen Arbeit ab.

EDIT3:
Also die Provisionen sind unterschiedlich hoch, weil die bei verschiedenen Auktionshäusern mitbieten und der Transport bis zum Hafen darin enthalten ist. Der Versand ab Hafen nach Europa (da steht kein genauer Hafen, müsste ich abklären) ist etwas schwer auszurechnen. Einmal gibts ne Pauschale für nen 40 Fuß Container. Da würden 3 Fits reinpassen. Kostet aber auch $5.600,-.

Ansonsten gehts nach m³ und da raff ich die Formel nicht so ganz. Es gibt drei verschiedene Anbieter:
$68m³ + $16.64m³ + $250,-
$73m³ + $16.64m³ + $250,-
$90m³ + BAF 12.50m³

Der Jazz ist 3,380 / 1,570 / 1,470 m groß, also 7,8 m³. Rechne ich mit 8 sind das demnach:

73 * 8 + 16,64 * 8 + 250 = $967,12

$1.000,- finde ich recht viel für einen Wagen.

EDIT4:
Bei dem anderen Auktionshaus, wo ich wohl direkt angemeldet bin, gibts aktuell auch keine mit manuellem Getriebe. Ich konnte da aber zumindest erreichen, das man mir eine Email schreibt, sobald was verfügbar ist.

Die sagte mir aber auch gleich, dass sie sich kaum an Schalter erinnern kann. Die sind in Japan unheimlich selten.

Ich mach mich gerade mal auf die Suche nach der Getriebenummer. Weil dann sollten wir schon alleine preislich auf Automatik schwenken.



Verfasst am: 30.04.2010, 14:51
zitieren

Also wir haben ein SWLM Getriebe. Bild anbei von meinem Getriebe.

Die gibt es laut US und EU (Deutschland) Service Manual:
SWLM: 5-speed manual
SWRA: CVT

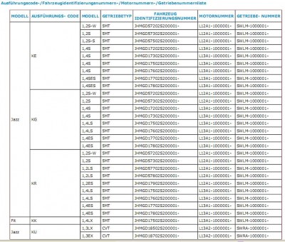
Anbei eine Liste der Fahrzeugtypen und der verbauten Getriebe laut Service Manual. Ich halte es für ziemlich eindeutig, dass beide Getriebe an alle Motoren passen (L13, L14 und L15).

Allerdings gibt es in Japan und den USA so viel ich weiß auch ein normales Automatikgetriebe. Also kein CVT. Allerdings wird das denke ich mal auch überall passen.

Mit Deiner Einverständnis würde ich dann ab sofort nur noch nach Automatik-Fahrzeugen schauen.


 Meine Getriebekennung

30042010047.jpg
30042010047.jpg - [Bild vergrößern]


 Alle bekannten Jazz-Modelle mit Getriebeart und Fahrzeugidentnummer aus Deutschland

jazz-getriebearten-deutschland.JPG
jazz-getriebearten-deutschland.JPG - [Bild vergrößern]


 Alle bekannten Jazz-Modelle mit Getriebeart und Fahrzeugidentnummer aus den USA

jazz-getriebearten-usdm.JPG
jazz-getriebearten-usdm.JPG - [Bild vergrößern]


 Ort der Nummern

group14l.jpg
group14l.jpg - [Bild vergrößern]
pn email
General 

Name: Andy
Geschlecht:
Fahrzeug: VW Polo 6R GTi ABT
Anmeldedatum: 20.03.2006
Beiträge: 3220
Wohnort: Eckental nähe Nürnberg Nord [Mittelfranken]


Meine eBay-Auktionen:
30.04.2010, 14:55
zitieren

ist aber alles 1.3 Liter ;)

und wo findet man da ein GD1 Modell ? oder ist des da alles anders ?


pn email
Administrator 

Name: Marc
Geschlecht:
Anmeldedatum: 28.08.2004
Beiträge: 52435
Wohnort: Lohmar


Meine eBay-Auktionen:
30.04.2010, 15:01
zitieren

Ach ja stimmt. Ist nur L13 und nicht L15. D.h. wir müssten jetzt noch rausfinden welche Getriebecodes in Japan eingesetzt werden.

GD1 ergibt sich aus JHMGD1.... also der Fahrzeugidentnummer ;)

EDIT:
Hier steht, dass der L15 ebenfalls SWLM hat:
http://www.ozhonda.com/forum/showthread.php?31940-VIN-No.-information

ZitatEngine Number

a. Engine Type
L15A1: 1.5 [liter] SOHC VTEC Sequential Multiport Fuel-injected engine

b. Serial Number
Transmission Number

a. Transmission Type
SWLM: 5-speed manual
SWRA: CVT

b. Serial Number
SWLM: 1000001-
SWRA: 2000001-


pn email
General 

Name: Andy
Geschlecht:
Fahrzeug: VW Polo 6R GTi ABT
Anmeldedatum: 20.03.2006
Beiträge: 3220
Wohnort: Eckental nähe Nürnberg Nord [Mittelfranken]


Meine eBay-Auktionen:
30.04.2010, 15:06
zitieren

Also ich weis das ich nen wasch echten japaner habe da ich 3 monate auf den transport gewarten musste ist aber kein 1.5 sondern auch nur 1.3 :P

warum wir uns eigentlich so abhetzen versteh ich gerade nicht *fällt mir gerade so ein*

wir ham doch nen 1.5er im Forum !! und morgen ist die Dame auch in Bamberg auf dem Treffen :D *lolololololololol*



Verfasst am: 30.04.2010, 15:08
zitieren

ok also das gleiche getriebe richtig ?
pn email
Administrator 

Name: Marc
Geschlecht:
Anmeldedatum: 28.08.2004
Beiträge: 52435
Wohnort: Lohmar


Meine eBay-Auktionen:
30.04.2010, 15:11
zitieren

Jo ist das gleiche, allerdings fällt mir gerade ein, dass uns das alles nichts bringt, weil das Steuergerät dann auch Automatik ist. Und da dann extra eins aus den USA holen.. dann können wir gleich nen kompletten Wagen da holen.

Hilft also alles nichts. Entweder Japan mit Schalter oder wir suchen wie zuerst geplant in den USA weiter.



Verfasst am: 30.04.2010, 15:12
zitieren

R3DEXwir ham doch nen 1.5er im Forum !! und morgen ist die Dame auch in Bamberg auf dem Treffen :D *lolololololololol*

Wer ist das? Wurde der umgebaut oder wie und warum gibts keine Infos dazu im Forum :suspekt:

 2x  bearbeitet
pn email
Gast 
20.01.2011, 07:11
zitieren

Mach mit!

Wenn Dir die Beiträge zum Thread "VTEC Motor L15A / L15A1 aus Japan / USA: Kann man swappen?" gefallen haben oder Du noch Fragen hast oder Ergänzungen machen möchtest, solltest Du Dich gleich bei uns anmelden:



Registrierte Mitglieder genießen die folgenden Vorteile:
✔ kostenlose Mitgliedschaft
keine Werbung
✔ direkter Austausch mit Gleichgesinnten
✔ neue Fragen stellen oder Diskussionen starten
✔ schnelle Hilfe bei Problemen
✔ Bilder und Videos hochladen
✔ und vieles mehr...


Neuen Thread eröffnenNeue Antwort erstellen
<123456
89181920>
Ähnliche BeiträgeRe:
Letzter Beitrag
 Unterschiede AGA Krümmer/Motor Jazz L13Z2 zu US Fit L15A Motor
Hey liebe Leute ich brauch mal eure Hilfe. Es geht darum das ich mir einen Decat Abgaskrümmer/Downpipe an meinem Jazz GG3 mit L13Z2 Motor verbauen möchte. Diese gibt es aber nur in den Staaten oder aus dem aisatischen Raum und auch eben dann nur für die...
[Jazz ab 2008]von FitFreak
4
559
25.07.2017, 14:17
FitFreak
 Welches Steuergerät/ECU für L15A Motor
Da ja bald mein VTEC Motor kommt, muss ich mich schon mal nach einer ECU umschauen. Die Originale aus Japan ist ja bekanntlich bei 180 km/h abgeriegelt. Die aus den USA sollte es nicht sein, wobei mich dieser Kommentar stutzig macht :o...
Seite 2, 3 [Jazz 02-08]von mgutt
28
1.729
06.06.2011, 09:13
mgutt
accord cb7 motor in ej9 swappen
hallo jungs, mein kumpel und ich haben vor einen cb7 motor aus einem 91er accord in seinen ej9 zu pflanzen! haben jetzt schon folgende teile: motor, getriebe, kabelbaum, ecu, sensoren! was benötigen wir noch für diesen umbau? und müssen diese...
Seite 2, 3 [Performance]von EJ6-POWER
21
1.505
20.04.2007, 20:38
ToxiT
Vtec Led funktioniert nicht ,aber Vtec kommt,wer kann helfen
Hi Wie oben steht funktz mein Vtec LED nicht. Angeschlossen wie es vorgeschrieben ist. Plus Kabel vom Vtec Signal(vom einadrigen) und Minus und dazwischen halt die LED Aber die LED leuchtet net (habe sie auch geprüft) und der VTec kommt....
Seite 2, 3 [Elektronik]von David
21
1.431
30.11.2012, 11:18
lil_dk
kann man bedenkenlos aus japan bestellen?
hallo zusammen. ich wollte mir demnächst was aus japan bestellen. kann ich dies bedenkenlos machen oder hole ich mir das radioaktives zeugs nachhause? es geht um ein spiel zeug für mein sohn. danke und...
[Café]von mad-mike
3
2.813
21.08.2011, 19:35
mgutt
S2000 bj. 2006 Motor Import Japan
Hallo zusammen, letzte Woche hat sich mein Motor F20C2 mit nur 90000 durch ein abgerissenes Pleuel zerstört. Ein riesiges Loch ist in der Ölwanne und ich könnte heulen. Jetzt suche ich einen neuen Motor und bin auf die Komplettmotoren von Spoon...
Seite 2 [S2000]von linuxmaster85
10
2.095
27.04.2018, 16:21
Paintballer3000
Von B16 auf B18 swappen
Nur mal rein informativ gefragt. Was bräuchte ich, um von B16 auf B18C6 zu swappen? Passt der Krümmer und die ATWs und evtl. Kühler vom EK4? Sonst bräuchte man doch eigentlich nichts oder, außer halt die restlichen Anbauteile. Getriebe passt das...
Seite 2 [Civic 96-00]von Kanjo C1
12
999
08.10.2014, 20:35
Chris_1984
Rex swappen
Hallo Leute, ich bräuchte hier mal ein paar Tipps zum Motorswap beim ED9. Ich habe in der Zukunft vor dem Rex ein bisschen mehr Power zu verleihen mit Hilfe eines Swaps. Ziel ist ein cooler Street Racer, doch als Gärtner ist da Budget leider etwas...
Seite 2, 3 [CRX]von Dany117
20
900
10.05.2018, 18:11
SPY#-2194
D16V1 in EP1 swappen
Hallo, hab eine Frage ^^ hab zwar die Suche benutzt aber nichts passendes dazu gefunden :( Ich möchte gerne einen D16V1 in meinen EP1 swappen. Was ich jetzt so weiß, benötige ich folgende Teile: D16V1 komplett D16V1 Motorkabelbaum D16V1...
Seite 2 [Civic 01-05]von FloKastl
18
1.510
21.05.2012, 14:46
EP2-Andre
Bremsen von EJ6 auf den ED3 swappen?
Ist es möglich die kompletten Bremsen vom EJ6 auf den ED3 zu...
[Civic bis 91]von PhillyGee
9
217
18.06.2011, 09:44
PhillyGee
© 2004 - 2026 www.maxrev.de | Communities | Impressum |