|
Forum
» Picture Collection
» Alle bekannten Jazz-Modelle mit Getriebe Bild - Jazz Getriebearten Deutschland
|
||||||
| Details: | |
|---|---|
Author: |
|
Posted: |
30.04.2010, 14:51 |
Description:
|
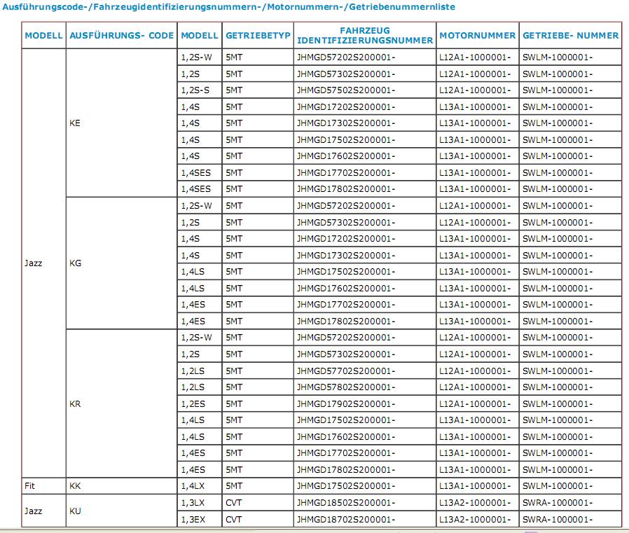
Alle bekannten Jazz-Modelle mit Getriebeart und Fahrzeugidentnummer aus Deutschland |
Filesize: |
172,98 KB |
Viewed: |
1194 time(s) |
| Comment this Picture: |
|---|